EXPANSIÓN EN SERIE DE LAS MATRICES REDUCIDAS DE WIGNER

Abdoulaye F. Diallo
Centro Regional Universitario de Azuero
Universidad Tecnológica de Panamá
Apartado 6-2894, El Dorado Panamá, República de Panamá

RESUMEN

En el presente artículo se muestra una nueva metodología para la determinación de las Matrices Reducidas de Wigner. Nuestro interés en estas matrices proviene de su uso frecuente en Estructura Nuclear. En los estudios de las propiedades del núcleo atómico, las propiedades de simetría rotacional involucran estas funciones propias del grupo de rotación en tres dimensiones. Aquí, derivamos expresiones polinomiales que permitan usar estas matrices en expansiones asintóticas de diferentes magnitudes físicas.

Palabras claves: Polinomios, Elementos Matriciales, Expansión Asintótica.

ABSTRACT

A new method is proposed for for expressing Wigner's reduced matrices as polynomials. These matrices, arising from the symmetry propierties of the Rotational Group are of common use in Nuclear Structure; however only the lowest of them are usually tabulated due to their complexity. Our interest in the polynomila expression of higher terms arises from their usefulness in asymtotic expansions of different observables in the Interacting Boson Model.

Keywords: Polynomials, Matricial Elements, Asymtotic Expansion.

1. Introducción

Uno de los principios de conservación básicos de la Física es el de la invarianza rotacional. Esta invarianza corresponde a la conservación del momento angular y es muy estudiada tanto por los matemáticos, los físicos, como por los químicos que usan las técnicas de la Teoría de Grupos. El grupo de rotación en tres dimensiones es en este sentido uno de los más útiles y el principio de conservación asociado de aceptación universal. En este artículo presentamos las propiedades generales asociadas con las rotaciones en tres dimensiones, como surgen las Matrices de Wigner y las Matrices Reducidas de Wigner, y derivamos una formulación polinomial para su determinación. La sección 1 trata de las propiedades de grupo de estas funciones propias y su definición analítica; la sección 2 presenta su determinación polinomial; después algunas conclusiones son presentadas en la sección 3.

2. Rotaciones en el Espacio, Ángulos de Euler y Matrices de Wigner

En Mecánica Cuántica, se suele presentar un Grupo G de dimensión n por matrices del mismo orden de tal manera que a cada elemento a de G le corresponda una matriz R(a) cuadrada n x n. Estas matrices tienen que cumplir con la siguiente propiedad:

R(a) R(b) = R(ab), (1)

i.e. el producto de los elementos del grupo se reduce a una multiplicación matricial.

En el presente artículo, la representación irreducible del grupo de rotación es la que nos interesa. Este grupo es generado por el momento angular Ĵ :

(2)

Para determinar las matrices que representan rotaciones finitas, se introducen los ángulos de Euler

(α, β, γ) que se definen como sigue:

Sea un conjunto de ejes ortogonales (x, y, z) que se trasforman mediante rotaciones a otro conjunto (x', y', z'). Para pasar del primero al segundo se procede en tres pasos:

Una rotación α alrededor del eje z permite pasar a un sistema (x1, y1, z):

(α, z): (x,y,z)→(x1, y1, z)

Después, con una rotación β alrededor de y1, se obtiene (x'1, y1, z'):

(β, y1): (x1, y1, z)→(x'1, y1, z')

Una tercera rotación γ alrededor de z' nos lleva al sistema (x', y', z'):

(γ, z'): (x', y', z')

El operador de rotación correspondiente a esta transformación tendrá la forma explícita:

(3)

Una reducción directa de esta ecuación conduce a la relación:

(4)

Utilizaremos la convención de Rose [1] para escribir las matrices correspondientes a la representación irreducible del grupo de rotación de dimensión 2I + 1 (para un momento angular I):

(5)

AD(α,β,γ) se suele llamar Matriz de Wigner [4]. Como D es un operador unitario,

(6)

Por lo que podemos escribir las siguientes relaciones:

(7)

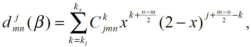
Dado que los vectores de base de la representación son funciones propias de Jz, podemos escribir las matrices de Wigner de forma más simple:

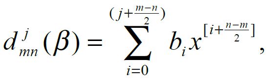
En esta expresión, dMNI (β), conocidas como las Matrices Reducidas de Rotación o Matrices Reducidas de Wigner son reales y se pueden escribir explícitamente como:

donde k toma todos los valores enteros para los cuales las funciones Gamma son definidas.
Esta definición de las Matrices Reducidas de Wigner será nuestro punto de partida debido a que en el esquema de proyección antes de la variación (PAV) del método de Hartree-Bose en el Modelo de Interacción Bosónico (MIB), nos encontramos en la necesidad de evaluar integrales de sobrelape del tipo:

(10)

donde L es el momento angular del estado nuclear que se estudia, I es un momento intermedio, N es el número de bosones del sistema, n el rango de la interacción (n toma el valor uno para una interacción de un cuerpo, dos para una interacción de dos cuerpos, etc…), y

(11)

representa la distribución angular del condensado bosónico.

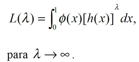
Estas integrales pueden ser aproximadas asintóticamente, usando el método de Laplace una vez se escriben de la forma:

(12)

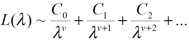
Este método permite expandir la integral [12] en una serie asintótica que converge muy rápidamente:

(13)

Esta es la motivación principal por escribir las Matrices Reducidas de Wigner en serie de potencias ya que los coeficientes en [13] se determinan en función de los coeficientes de las expansiones en serie de potencia de φ(x), la función pre-exponencial y h(x), la función exponencial respectivamente.

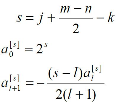
3. Desarrollo polinomial de las Matrices Reducidas de Wigner

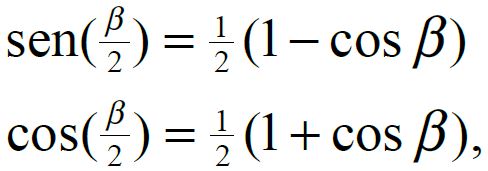
Empezando con [9], usando las identidades trigonométricas

y haciendo el cambio de variable

(14)

podemos escribir la Matriz Reducida como sigue:

donde

Ahora se puede expandir de la forma donde

Entonces escribimos

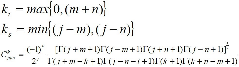
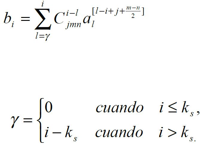
Asociando los coeficientes de los términos de la misma potencia,

(18)

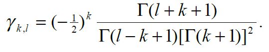
donde

4. Ejemplos y Discusión

La expresión [18] es nuestra fórmula polinomial para la determinación de las Matrices Reducidas de Wigner. Aplicándola, determinemos algunas de estas para valores específicos de j, m, n. El resultado se muestra en el cuadro siguiente:

Tabla 1: Expresiones para algunas Matrices Reducidas de Rotación

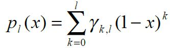
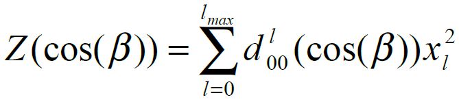
Estas expresiones se pueden reducir mas, pero no lo hacemos para resaltar las potencias de cos β que es de mucho interés para nosotros. En particular se reconocerán con facilidad los té del tipo d00j que corresponden a los Polinomios de Legendre de orden j. Para estos casos específicos la fórmula se reduce a:

(19)

(20)

y para la distribución del condensado bosónico Z (cos β) se obtiene:

(21)

(22)

expresiones que habíamos obtenido anteriormente [5]. Estas nuevas expresiones extienden la posibilidad de realizar cálculos fuera de la simetría axial que hemos usado anteriormente y donde se trabaja con los polinomios de Legendre.

Se ha de notar, sin embargo, que en el Modelo de Interacción Bosónico nos limitamos a valores enteros de j porque tratamos con bosones. Este estudio podría extender las posibilidades al Modelo de Interacción Bosón-Fermión (MIBF) donde se considera un núcleo impar.

5. Referencias Bibliográficas

[1] Rose, M.E., Multipole Fields, John Wiley and Sons, Inc., New York, 1995.

[2] D. M. Brink and G.R. Satchler, Angular Momentum, Clarendon Press, Oxford, 1968.

[3] A. R. Edmonds, Angular Momentum in Quantum Mechanics, Princeton University Press, 1957.

[4] E. P. Wigner, Group Theory and its Application to Quantum Mechanics of Atomic Spectra, Academic Press, New York, 1959.

[5] B. R. Barrett, E. D. Davis and A. F. Diallo, Phys. Rev. C50, 1917 (1994).